5.4.1 直線區間的風偏移
由于風對架空接觸網的線和導線施加的力使其水平方向偏離,出現 “風偏”。與風載成正比,而偏離與線張力成反比。接觸線的允許偏移(風偏) 受到受電弓弓頭的工作范圍限制。架空接觸網的設計必須考慮確保橫向偏移是在允許極限內,而受電弓運行時不會脫離接觸線-這種現象稱為“離線”。對于直徑為d的圓形截面導線,單位長度風荷載的計算是

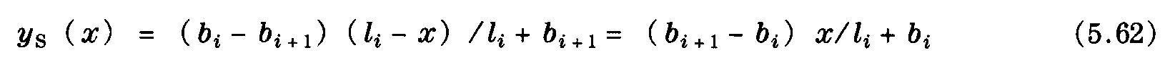
從表5.7中查出空氣動力阻力系數cw。與式 (5.34) 類似,單線的風偏移,例如電車型接觸網設施中的接觸線,在基準支撐右側點x處 (如圖5.11) 的情況可用下式表示

圖5.11 在風作用下,有拉出值的接觸線沿直線區段的偏移

圖5.11 坐標是對應于線路中心線右側正橫向位移 (從支持裝置編號增大方向看) 而言。接觸線和承力索與支持裝置的連接是交替橫向位移,稱之為拉出值。風載情況下,橫向位移是兩個系數yw (x) 和ys (x) 疊加的結果

表示橫向位置的完整公式是

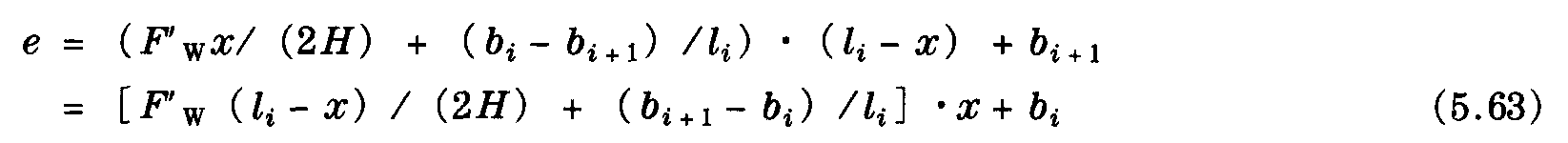
通過求微分并把微分視為零,可以找出最大橫向位移的位置
這樣,因風作用造成的最大偏移為

該公式用于單位長度風載F'W大于
的情況。如果不是的話,數學上的最大風偏移點可能會在所研究的跨距之外。
對于實際應用中經常出現的情況,bi=-b,bi+1=+b,采用公式為

5.4.2 曲線上由于風和接觸線的拉出值產生的偏移
5.4.2.1 無風時接觸線的偏位
在曲線上,接觸線偏位必須相對于超高的線路中心線位置計算。
圖5.12b的 (x,y) 坐標系中,面對樁號增高方向,中心線右側是正,左側為負。在這個坐標系中,線路中心線可用下式表述
![]()
可按下式計算兩相鄰懸掛點i和i+1的連線距離線路中心線的位移絕對值yK
![]()

圖5.12 曲線上的接觸線或承力索的偏移
因為 [li/(2R)] <<1,
,公式可以簡化為
免責聲明:本網站所刊載信息,不代表本站觀點。所轉載內容之原創性、真實性、完整性、及時性本站不作任何保證或承諾,請讀者僅作參考并自行核實。










































